Теорема
| Стороны треугольника пропорциональны синусам противолежащих углов. |
Дано:
АВС, АВ =
, ВС =
, АС =
.
Доказать:
.
Доказательство:

По теореме о площади треугольника:
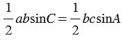
, (1)
, (2)
. (3)
Из равенств (1) и (2) получим:
, откуда
или
. (4)
Из равенств (2) и (3) получим:
, откуда
или
. (5)
Из равенств (4) и (5) следует:
.
Теорема доказана.
Замечание
| Отношение стороны треугольника к синусу противолежащего угла равно диаметру (двум радиусам) описанной окружности. |
Дано: окр(О, R) описана около
АВС.
Доказать:
.
Доказательство:
Проведем диаметр ВА1 и рассмотрим треугольник А1ВС.

Угол С
АВС опирается на диаметр ВА1, поэтому
С - прямой, тогда
(6) (смотри формулы для вычисления координат точки). Но
. Действительно, если точка А1 лежит на дуге ВАС (см. рисунок выше), то
А1 =
А, а если на дуге ВDС (см. рисунок ниже), то
А1 = 1800 -
А. В обеих случаях
.

Следовательно, учитывая (6), получим:
, при этом диаметр ВА1 = 2R, значит,
, откуда
. Что и требовалось доказать.
Из доказанного выше замечания получаем, что для любого
АВС со сторонами АВ =
, ВС =
, АС =
справедливы равенства
,
где R - радиус описанной окружности.
Синус, косинус, тангенс, котангенс
Основное тригонометрическое тождество. Формулы приведения.
Формулы для вычисления координат точки
Теорема о площади треугольника
Скалярное произведение векторов
Скалярное произведение в координатах
Свойства скалярного произведения векторов
Соотношения между сторонами и углами треугольника. Скалярное произведение векторов
7 класс
Задание 1027, Атанасян, Бутузов, Кадомцев, Позняк, Юдина, Учебник
Задание 1028, Атанасян, Бутузов, Кадомцев, Позняк, Юдина, Учебник
Задание 1029, Атанасян, Бутузов, Кадомцев, Позняк, Юдина, Учебник
Задание 1058, Атанасян, Бутузов, Кадомцев, Позняк, Юдина, Учебник
Задание 1060, Атанасян, Бутузов, Кадомцев, Позняк, Юдина, Учебник
Задание 1072, Атанасян, Бутузов, Кадомцев, Позняк, Юдина, Учебник
Задание 1277, Атанасян, Бутузов, Кадомцев, Позняк, Юдина, Учебник
Задание 9, Атанасян, Бутузов, Кадомцев, Позняк, Юдина, Учебник
Задание 12, Атанасян, Бутузов, Кадомцев, Позняк, Юдина, Учебник
Задание 13, Атанасян, Бутузов, Кадомцев, Позняк, Юдина, Учебник