Вернуться к содержанию учебника
Выберите год учебника
№381 учебника 2018-2020 (стр. 70):
Выполните сложение:

№381 учебника 2011-2017 (стр. 62):
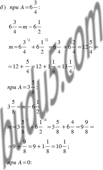
Найдите по формуле
:
а) значение А, если
б) значение
, если
№381 учебника 2018-2020 (стр. 70):
№381 учебника 2011-2017 (стр. 62):
Вспомните:
Вернуться к содержанию учебника