Номер 1052 - ГДЗ Математика 5 класс. Мерзляк, Полонский. Учебник. Страница 251

Вернуться к содержанию учебника

Страница 251

1049 1050 1051 1052 1053 1054 1055

Вопрос

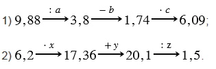
Найдите числа, которых не хватает в цепочке вычислений:

Подсказка

Вспомните:

  1. Как решают уравнения.
  2. Деление десятичных дробей.
  3. Вычитание десятичных дробей.

Ответ


Вернуться к содержанию учебника