Номер 438 - ГДЗ Математика 6 класс. Мерзляк, Полонский. Учебник. Страница 82

Вернуться к содержанию учебника

Страница 82

435 436 437 438 439 440 441

Вопрос

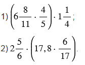
Вычислите наиболее удобным способом:

Подсказка

Вспомните:

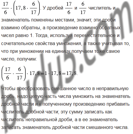
  1. Умножение обыкновенных дробей, взаимно обратные числа.
  2. Смешанные числа.
  3. Неправильные дроби.

Ответ


Вернуться к содержанию учебника