Номер 263 - ГДЗ Алгебра 7 класс. Мерзляк, Полонский. Учебник. Страница 54

Вернуться к содержанию учебника

Страница 54

260 261 262 263 264 265 266

Вопрос

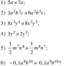
Являются ли подобными одночлены:

Подсказка

Вспомните:

  1. Какие выражения называют одночленами.
  2. Какие одночлены называют подобными.

Ответ


Вернуться к содержанию учебника