Номер 434 - ГДЗ Алгебра 7 класс. Мерзляк, Полонский. Учебник. Страница 83

Вернуться к содержанию учебника

Страница 83

431 432 433 434 435 436 437

Вопрос

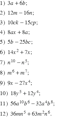
Разложите на множители:

Подсказка

Ответ


Вернуться к содержанию учебника