Вернуться к содержанию учебника
Страница 93
495 496 497 498 499 500 501 502 503 504 505
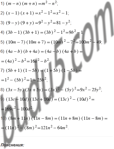
Выполните умножение многочленов:
Вспомните: