Номер 932 - ГДЗ Алгебра 7 класс. Мерзляк, Полонский. Учебник. Страница 185

Вернуться к содержанию учебника

Страница 185

929 930 931 932 933 934 935

Вопрос

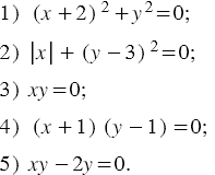
Постройте график уравнения:

Подсказка

Ответ


Вернуться к содержанию учебника