Номер 12 - ГДЗ Алгебра 8 класс. Мерзляк, Полонский. Учебник. Страница 86

Вернуться к содержанию учебника

Задание №3 "Проверь себя". Страница 86

9 10 11 12 1 2 3

Вопрос

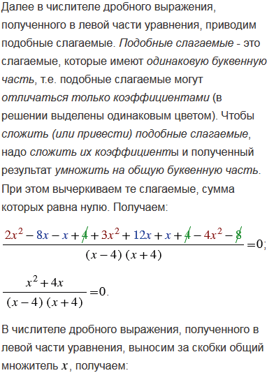
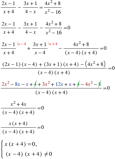
Решите уравнение .

А) 0; 4

Б) 4; 0

В) 4

Г) 0

Подсказка

Вспомните:

  1. Что значит решить уравнение.
  2. Какие уравнения называют равносильными, рациональными.
  3. Какую дробь называют рациональной, допустимые значения переменной.
  4. Разность квадратов двух выражений.
  5. Основное свойство рациональной дроби.
  6. Подобные слагаемые, правила раскрытия скобок..
  7. Разложение многочленов на множители.
  8. Умножение многочлена на многочлен.
  9. Сложение рациональных чисел.
  10. Вычитание рациональных чисел.
  11. Сложение и вычитание дробей с одинаковыми знаменателями.
  12. Сложение и вычитание дробей с разными знаменателями.

Ответ

9 10 11 12 1 2 3


Вернуться к содержанию учебника