Вернуться к содержанию учебника
Упражнения §23. Страница 190
772 773 774 1 775 776 777 778 779 780 781
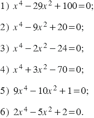
Решите уравнение:
Вспомните: