| Площадь квадрата равна квадрату его стороны. |
Дано: квадрат,
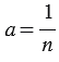
- сторона квадрата,
- площадь квадрата.
Доказать:
.
Доказательство:
1 случай
, где
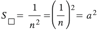
- целое число. Возьмем квадрат со стороной 1, разобьем его на
равных квадратов (на рисунке
= 5).

Площадь большого квадрата равна 1, следовательно, чтобы найти площадь каждого маленького квадратика, нужно площадь большого квадрата разделить на количество маленьких квадратиков, число которых
, т.е. получим
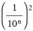
- площадь каждого маленького квадратика. Сторона каждого маленького квадрата равна
, значит, равна
, т.к.
. Получаем
. (1)
2 случай
- конечная десятичная дробь, содержащая
знаков после запятой (если
= 0, то
- целое число),
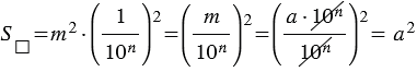
- целое число. Разобьем данный квадрат со стороной
на
равных квадратов (на рисунке
= 7).

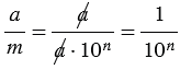
Каждая сторона данного квадрата разобьется на
равных частей, тогда сторона любого маленького квадрата равна
.
По формуле (1) площадь маленького квадрата равна
,
чтобы найти площадь данного квадрата, нужно умножить число маленьких квадратов на их площадь, т.е.
.
3 случай
- бесконечная десятичная дробь. Рассмотрим число
, получаемое из
отбрасыванием всех десятичных знаков после запятой, начиная с
- го. Так как число
отличается от числа
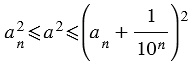
не более чем на
, то
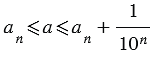
, откуда
. (2)
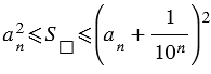
Площадь
данного квадрата заключена между площадью квадрата со стороной
и площадью квадрата со стороной
(смотри рисунок ниже),

т.е. между
и
, значит:
. (3)
Если неограниченно увеличивать число
, то число
будет становиться сколь угодно малым,
число
будет сколь угодно мало отличаться от числа
. Поэтому из неравенств (2) и (3) следует, что число
сколь угодно мало отличается от числа
,
. Что и требовалось доказать.
Понятие площади многоугольника
Теорема, обратная теореме Пифагора
7 класс
Задание 449, Атанасян, Бутузов, Кадомцев, Позняк, Юдина, Учебник
Задание 456, Атанасян, Бутузов, Кадомцев, Позняк, Юдина, Учебник
Задание 457, Атанасян, Бутузов, Кадомцев, Позняк, Юдина, Учебник
Задание 458, Атанасян, Бутузов, Кадомцев, Позняк, Юдина, Учебник
Задание 506, Атанасян, Бутузов, Кадомцев, Позняк, Юдина, Учебник
Задание 876, Атанасян, Бутузов, Кадомцев, Позняк, Юдина, Учебник
Задание 1136, Атанасян, Бутузов, Кадомцев, Позняк, Юдина, Учебник
Задание 1211, Атанасян, Бутузов, Кадомцев, Позняк, Юдина, Учебник
Задание 638, Атанасян, Бутузов, Кадомцев, Позняк, Юдина, Учебник
Задание 1307, Атанасян, Бутузов, Кадомцев, Позняк, Юдина, Учебник