Конус - это объемное тело, которое получается при вращении прямоугольного треугольника вокруг одного из его катетов.
Возьмем прямоугольный треугольник АВС. Будем вращать этот треугольник вокруг катета АС.

Прямая АС - ось косинуса.
Отрезок АС - высота конуса.
Основание конуса - круг, образованный при вращении катета ВС.
Коническая поверхность (или боковая поверхность конуса) - поверхность, образованная при вращении гипотенузы АВ и состоящая из отрезков с общим концом А.
Образующие конуса - отрезки, из которых составлена боковая поверхность конуса (на рисунке выше указаны образующие АВ, АВ1 и АВ2).
| Конус - это тело, ограниченное кругом и конической поверхностью. |
| Объем конуса равен одной трети произведения площади основания на высоту. |
Дано: конус с площадью основания S, высотой h и объемом V.
Доказать: V =
Sh.
Доказательство:

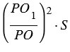
Воспользуемся принципом Кавальери. Рассмотрим конус и пирамиду с площадями оснований S и высотами ЕН = h и РО = h соответственно, "стоящие" на одной плоскости
.
Проведем секущую плоскость
, параллельную плоскости
и пересекающую высоты ЕН и РО в точках Н1 и О1 соответственно. В сечении конуса плоскостью
получится круг радиуса Н1А1.
ЕН1А1 подобен
ЕНА по двум углам (
Е - общий,
ЕН1А1 =
ЕНА = 900, т.к. в противном случае прямые НА и Н1А1, а значит, и плоскости
и
пересекались бы, что противоречит условию). Поэтому
, откуда
и площадь сечения конуса равна
.
Площадь сечения пирамиды равна
. По условию ЕН = РО = h, значит, ЕН1 = РО1 (т.к. ЕН1 = h - НН1 и РО1 = h - ОО1, параллельные плоскости отсекают одинаковые отрезки НН1 и ОО1 от отрезков ЕН и РО, т.е. НН1 = ОО1).
Следовательно, площадь сечения конуса равна площади сечения пирамиды. Поэтому и его объем равен объему пирамиды, т.е. V =
Sh. Что и требовалось доказать.
Рассмотрим конус с радиусом основания
и образующей
.

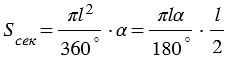
Представим, что его боковую поверхность разрезали по одной из образующих и развернули так, что получился круговой сектор.

Радиус этого сектора равен образующей конуса, т.е. равен
, а длина дуги сектора равна длине окружности основания конуса, т.е. равна 2
,
- градусная мера дуги сектора, тогда площадь данного сектора:
. (1)
Длина дуги окружности с градусной мерой
и радиусом
равна
. С другой стороны, длина этой дуги равна 2
, поэтому учитывая (1), получим:
.
Площадь боковой поверхности конуса равна площади ее развертки, т.е. . |
Параллельность и перпендикулярность прямых и плоскостей в пространстве
Свойства прямоугольного параллелепипеда
7 класс
Задание 1219, Атанасян, Бутузов, Кадомцев, Позняк, Юдина, Учебник
Задание 1223, Атанасян, Бутузов, Кадомцев, Позняк, Юдина, Учебник
Задание 1228, Атанасян, Бутузов, Кадомцев, Позняк, Юдина, Учебник
Задание 1230, Атанасян, Бутузов, Кадомцев, Позняк, Юдина, Учебник
Задание 1248, Атанасян, Бутузов, Кадомцев, Позняк, Юдина, Учебник
Задание 1250, Атанасян, Бутузов, Кадомцев, Позняк, Юдина, Учебник
Задание 1251, Атанасян, Бутузов, Кадомцев, Позняк, Юдина, Учебник
Задание 1310, Атанасян, Бутузов, Кадомцев, Позняк, Юдина, Учебник
Задание 21, Атанасян, Бутузов, Кадомцев, Позняк, Юдина, Учебник
Задание 22, Атанасян, Бутузов, Кадомцев, Позняк, Юдина, Учебник