Сфера - поверхность, состоящая из всех точек пространства, расположенных на заданном расстоянии от данной точки.

Центр сферы - данная точка (точка О на рисунке выше).
Радиус сферы - данное расстояние (R на рисунке выше), также это любой отрезок, соединяющий центр сферы с какой-либо ее точкой.
Диаметр сферы - отрезок, соединяющий две точки сферы и проходящий через ее центр. Диаметр сферы в два раза больше ее радиуса, т.е. если радиус сферы - R, то ее диаметр - 2R.
| Шар - тело, ограниченное сферой. |
Центр, радиус и диаметр сферы называются также центром, радиусом и диаметром шара. Шар радиуса R с центром О содержит все точки пространства, расположенные от точки О на расстоянии, не превышающем R (включая и саму точку О), и не содержит других точек.
Шар также может быть получен вращением полукруга вокруг его диаметра. При этом сфера образуется в результате вращения полуокружности.

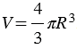
Объем шара радиуса R равен . |
Дано: шар радиуса R и объемом V.
Доказать:
.
Доказательство:
Воспользуемся принципом Кавальери*. Рассмотрим два тела: половину шара радиуса R и тело Т, представляющее собой цилиндр радиуса R с высотой R, из которого вырезан конус с радиусом основания и высотой R. Представим себе, что оба тела "стоят" на плоскости
(смотри рисунок ниже). Проведем секущую плоскость
, параллельную плоскости
и пересекающую радиус шара ОА, перпендикулярный к плоскости
, в точке А1, а высоту ВН конуса - в точке В1.

Сечение половины шара представляет собой круг, по теореме Пифагора радиус этого круга
. Поэтому площадь этого круга
.
Сечение тела Т представляет собой кольцо, площадь которого равна разности площадей двух кругов: круга радиуса R и круга радиуса В1В2 (смотри рисунок выше), т.е. равна
.
ВВ1В2 подобен
ВНК по двум углам (
В - общий,
ВВ1В2 =
ВНК = 900), при этом ВН = НК = R, следовательно, и В1В2 = ВВ1 , кроме того, ВВ1 = ОА1 (т.к. параллельные плоскости отсекают от параллельных прямых равные отрезки), значит, площадь сечения тела Т равна
.
Получаем, что площадь сечения половины шара равна площади сечения тела Т. Поэтому и объем половины шара равен объему этого тела. В свою очередь, объем тела Т можно вычислить как разность объемов цилиндра и конуса:
.
Итак, объем половины шара равен
, следовательно, объем всего шара
. Что и требовалось доказать.
Площадь сферы S радиуса R вычисляется по формуле . |
Параллельность и перпендикулярность прямых и плоскостей в пространстве
Свойства прямоугольного параллелепипеда
7 класс
Задание 1224, Атанасян, Бутузов, Кадомцев, Позняк, Юдина, Учебник
Задание 1225, Атанасян, Бутузов, Кадомцев, Позняк, Юдина, Учебник
Задание 1227, Атанасян, Бутузов, Кадомцев, Позняк, Юдина, Учебник
Задание 1228, Атанасян, Бутузов, Кадомцев, Позняк, Юдина, Учебник
Задание 1229, Атанасян, Бутузов, Кадомцев, Позняк, Юдина, Учебник
Задание 1252, Атанасян, Бутузов, Кадомцев, Позняк, Юдина, Учебник
Задание 1254, Атанасян, Бутузов, Кадомцев, Позняк, Юдина, Учебник
Задание 24, Атанасян, Бутузов, Кадомцев, Позняк, Юдина, Учебник
Задание 25, Атанасян, Бутузов, Кадомцев, Позняк, Юдина, Учебник
Задание 26, Атанасян, Бутузов, Кадомцев, Позняк, Юдина, Учебник