Рассмотрим многоугольник А1А2А3...An и точку М, которая не лежит в плоскости этого многоугольника. Если мы соединим точку М с вершинами данного многоугольника, то получим
треугольников МА1А2, МА2А3, ..., МАnА1.

Пирамида - это многогранник, который составлен из
- угольника А1А2А3...An и треугольников МА1А2, МА2А3, ..., МАnА1. Основание пирамиды - это многоугольник А1А2А3...An, а указанные треугольники - это боковые грани пирамиды. Точка М - это вершина пирамиды, а отрезки МА1, МА2, МА3, ..., МАn - это её боковые рёбра. Высота пирамиды - это отрезок, который соединяет вершину пирамиды с плоскостью основания, перпендикулярный к этой плоскости (отрезок МН). Пирамиду с вершиной М и основанием А1А2А3...An называют
- угольной пирамидой и обозначают: МА1А2А3...An. На рисунке ниже изображены треугольная пирамида (тетраэдр) и пятиугольная пирамида.

Правильная пирамида - это пирамида, основанием которой является правильный многоугольник, а отрезок, который соединяет вершину пирамиды с серединой основания, является его высотой.

Апофема - это высота боковой грани правильной пирамиды, которая проведена из её вершины (например, MN). Все апофемы правильной пирамиды равны друг другу.
Рассмотрим куб с ребром
и проведём его диагонали, которые разобьют его на шесть равных друг другу пирамид с общей вершиной в точке О (точка пересечения диагоналей куба).

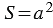
Основанием каждой из шести пирамид является квадрат со стороной
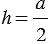
. При этом высота будет равняться
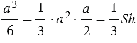
. Так как куб разбит на шесть равных пирамид, то объём каждой из них будет в шесть раз меньше объёма куба, то есть равен
. Но
, где
- площадь основания пирамиды,
- её высота. Как видим, объём правильной четырёхугольной пирамиды со стороной основания
и высотой
равен одной трети произведения площади основания на высоту. Данное утверждение справедливо и для произвольной пирамиды.
| Объём пирамиды равен одной трети произведения площади основания на высоту. |
Параллельность и перпендикулярность прямых и плоскостей в пространстве
Свойства прямоугольного параллелепипеда
7 класс
Задание 1201, Атанасян, Бутузов, Кадомцев, Позняк, Юдина, Учебник
Задание 1202, Атанасян, Бутузов, Кадомцев, Позняк, Юдина, Учебник
Задание 1209, Атанасян, Бутузов, Кадомцев, Позняк, Юдина, Учебник
Задание 1210, Атанасян, Бутузов, Кадомцев, Позняк, Юдина, Учебник
Задание 1219, Атанасян, Бутузов, Кадомцев, Позняк, Юдина, Учебник
Задание 1308, Атанасян, Бутузов, Кадомцев, Позняк, Юдина, Учебник
Задание 1309, Атанасян, Бутузов, Кадомцев, Позняк, Юдина, Учебник
Задание 1310, Атанасян, Бутузов, Кадомцев, Позняк, Юдина, Учебник
Задание 12, Атанасян, Бутузов, Кадомцев, Позняк, Юдина, Учебник
Задание 14, Атанасян, Бутузов, Кадомцев, Позняк, Юдина, Учебник